※次の解答はただの参考です。必ず自分で探求した後で解答を読むことにしましょう。
【ポイント】
図形に関する問題であれば,とりあえず図を書いておこう!
(1)の「三角形ABCの面積は三角形DEFの面積の何倍になるか」という質問は,実は「面積比」を聞いているね。ここから規則性を見い出し,(1)に基づいて一般化されたものは(2)になったのです。
【出題範囲】
図形の性質と計量,数と式。この問題を完璧に解くために,せめて以下の知識・技能が必要です。
(1)内分
(2)三角形の面積の求め方
(3)2次方程式の解き方:解の公式
(4)無理数の整数部分・小数部分
では,問題を解いてから解答を見ましょう。
【解答】
仮定より,下の図をかくことができる。

表記しやすくするために,

とする。
(1)

のとき,

となる。

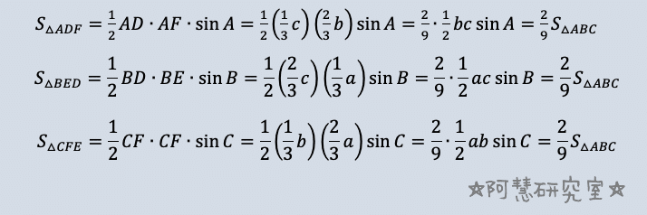
各三角形の面積は

であり,

であるから,




が得られる。
(2)(1)より,

ということが分かった。つまり,

であり,

が成り立つ。三角形DEFの面積が三角形ABCの面積の半分になるのは

であるから,


となる。このとき,すなわち






である。kは2つの値になるので,kの範囲を満たさないものを探していく。

であるから,kの2つの値はそれぞれ


を満たす。しかし,問題より,kの値の範囲は

であるから,求めるkの値は

である。

【正解】


解答部分は自作なので,著作権を放棄しておりません。記事をSNS等へシェアしていただけたらすごく嬉しいですが,内容だけを複写・複製・翻訳することは固くお断りします。皆様のご協力をよろしくお願いいたします。
2012年第1回数学コース1の他の問題を見にいく
コミュニケーションボックス

