※次の解答はただの参考です。必ず自分で探求した後で解答を読むことにしましょう。
【出題範囲】
整数の性質,数と式。この問題を完璧に解くために,せめて以下の知識・技能が必要です。
(1)2次式の因数分解
(2)3次式の因数分解
(3)素数の性質
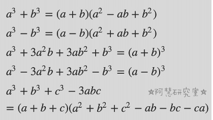
【3乗に関係する因数分解】
以下の5つがあります〜!特に基本対称式のものを覚えといてくださいね。

では,問題を解いてから解答を見ましょう。
【解答】
(i)について,仮定より

となる。自然数nも完全平方数であるから



が成り立つ。したがって,x<yであることから

かつ

であることがわかり,

を得る。よって,

である。
(ii)について,仮定より



(i)と同様に,x<yであるから

かつ

であることがわかり,




を得る。求める完全立方数nは

である。

【正解】


解答部分は自作なので,著作権を放棄しておりません。記事をSNS等へシェアしていただけたらすごく嬉しいですが,内容だけを複写・複製・翻訳することは固くお断りします。皆様のご協力をよろしくお願いいたします。
2013年第2回数学コース1の他の問題を見にいく
コミュニケーションボックス

