※次の解答はただの参考です。必ず自分で探求した後で解答を読むことにしましょう。
【出題領域】
二次関数。
【解答】
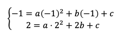
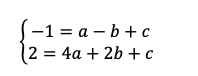
(1)関数①のグラフは(-1,-1),(2,2)を通るものであるから


がわかる。上記はa,b,cについての方程式であり,b,cをaの式で表すと

となる。
具体的な方法は次の図にご覧ください。

(2)条件より

が得られる。よって,



である。
(3)新たな関数zを定義する。関数zは

である。この関数は2次関数であり,グラフで考えると



がわかる。よって,求める式の値の範囲は

である。

【正解】


解答部分は自作なので,著作権を放棄しておりません。記事をSNS等へシェアしていただけたらすごく嬉しいですが,内容だけを複写・複製・翻訳することは固くお断りします。皆様のご協力をよろしくお願いいたします。
2014年第1回数学コース1の他の問題を見にいく
コミュニケーションボックス

