※次の解答はただの参考です。必ず自分で探求した後で解答を読むことにしましょう。
【出題領域】
数と式,二次不等式,図形。
【解答】
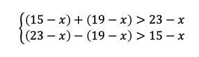
三角形の成り立つ条件により,



である。よって,三角形の3辺の長さとなるxの値の範囲は

である。
さらに,その三角形が鈍角三角形となるのは,余弦定理により

がわかる。

であるから,分子





が得られる。
よって,求めるxの値の範囲は

である。

【正解】


解答部分は自作なので,著作権を放棄しておりません。記事をSNS等へシェアしていただけたらすごく嬉しいですが,内容だけを複写・複製・翻訳することは固くお断りします。皆様のご協力をよろしくお願いいたします。
2015年第1回数学コース1の他の問題を見にいく
コミュニケーションボックス

