※次の解答はただの参考です。必ず自分で探求した後で解答を読むことにしましょう。
【出題領域】
数と式(絶対値を含む式),関数。
【解答】
式①

とおくと,分かれ目は

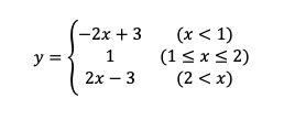
であり,xの範囲によってyの式それぞれは

となる。よって,

である。
①にグラフを考えると,

yの値は

において,最小値1を取る。
よって,Pの値がx=aのとき最小となるように,aの値の範囲は

を満たし,Pの最小値は

である。

【正解】


解答部分は自作なので,著作権を放棄しておりません。記事をSNS等へシェアしていただけたらすごく嬉しいですが,内容だけを複写・複製・翻訳することは固くお断りします。皆様のご協力をよろしくお願いいたします。
2015年第2回数学コース1の他の問題を見にいく
コミュニケーションボックス

